提问者:糖在兜里
江苏,《高中数学小题狂做必修第一册SJ(基础过关)》,P74,第9题,疑惑是计算怎么解?
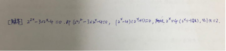
编辑解答:
江苏,《高中数学小题狂做必修第一册SJ(基础过关)》,P74,第13题,疑惑是计算怎么解?
微信小程序
微信扫一扫体验
微信公众账号
微信扫一扫加关注
发表评论 取消回复